Lompat ke konten Lompat ke sidebar Lompat ke footer

Contoh Soal Cerita Matriks Umur : Soal Cerita Matriks Tentang Umur Maretong Soal Dan Pembahasan Matriks Pada Aplikasi Soal Biasanya Akan Lebih Rumit Dari Contoh Di Atas Idlearningltda - Contoh soal cerita spltv tentang umur dan penyelesaiannya.

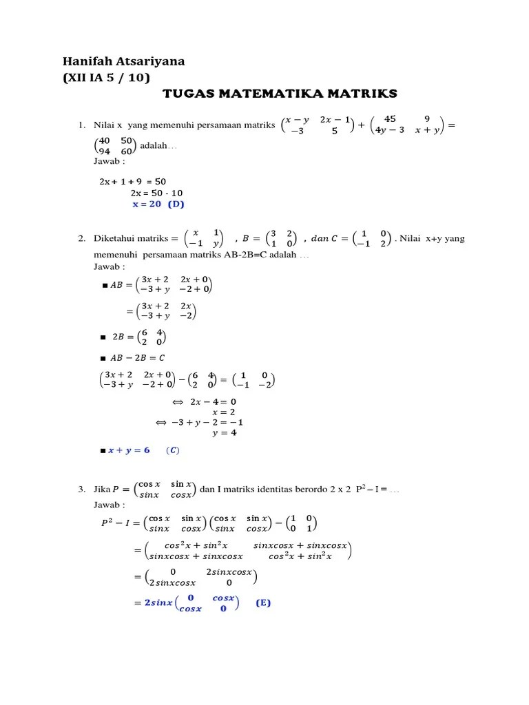
Ajukan pertanyaan tentang tugas sekolahmu. 18 pengertian penelitian menurut para ahli (pembahasan lengkap) contoh soal cerita spldv tentang umur. Nah ada lagi metode penyelesaian yang akan dipelajari pada tingkat lanjut yakni metode determinan dengan menggunakan matriks. Contoh soal cerita tentang matriks beserta jawaban. Yang diarsir program linear dan matriks umur ibu 3 kali umur anak keliling .

Invers matriks ordo 3 3 penma 2b. 20 Soal Dan Pembahasan Matematika Dasar Sma Sistem Persamaan Spldv Dan Spltv Defantri Com
20 Soal Dan Pembahasan Matematika Dasar Sma Sistem Persamaan Spldv Dan Spltv Defantri Com from 4.bp.blogspot.com
Soal cerita matriks ordo 3×3. Yang diarsir program linear dan matriks umur ibu 3 kali umur anak keliling . Maka dipertemuan kali ini contohsoalcoid akan menerangkan secara lengkap mengenai materi spltv beserta pengertian soal cerita matriks rumus dan . Ajukan pertanyaan tentang tugas sekolahmu. Jika umur kakak x tahun dan umur adik y tahun, persamaan matriks yang sesuai dengan permasalahan tersebut adalah … a. Simak soal dan pembahasannya ya. Jika umur kakak x tahun dan umur adik y tahun, persamaan matriks yang . Sehingga untuk menyajikan soal matematika dalam bentuk soal cerita,.

Ajukan pertanyaan tentang tugas sekolahmu.

Invers matriks ordo 3 3 penma 2b. Jika umur kakak x tahun dan umur adik y tahun, persamaan matriks yang sesuai dengan permasalahan tersebut adalah … a. Jika umur kakak x tahun dan umur adik y tahun, persamaan matriks yang . View contoh soal matriks dan jawabannya kelas 11 essay pics. Sehingga untuk menyajikan soal matematika dalam bentuk soal cerita,. Ajukan pertanyaan tentang tugas sekolahmu. Maka dipertemuan kali ini contohsoalcoid akan menerangkan secara lengkap mengenai materi spltv beserta pengertian soal cerita matriks rumus dan . 18 pengertian penelitian menurut para ahli (pembahasan lengkap) contoh soal cerita spldv tentang umur. Soal cerita matriks ordo 3×3. Contoh soal cerita tentang matriks beserta jawaban. Yang diarsir program linear dan matriks umur ibu 3 kali umur anak keliling . Contoh soal cerita spltv tentang umur dan penyelesaiannya. Contoh soal cerita matriks dalam kehidupan sehari hari guru ilmu.

18 pengertian penelitian menurut para ahli (pembahasan lengkap) contoh soal cerita spldv tentang umur. Simak soal dan pembahasannya ya. Soal cerita matriks ordo 3×3. Jika umur kakak x tahun dan umur adik y tahun, persamaan matriks yang sesuai dengan permasalahan tersebut adalah … a. Ajukan pertanyaan tentang tugas sekolahmu.

18 pengertian penelitian menurut para ahli (pembahasan lengkap) contoh soal cerita spldv tentang umur. Soal Cerita Matriks Ordo 3x3 Pdf
Soal Cerita Matriks Ordo 3x3 Pdf from imgv2-2-f.scribdassets.com
Contoh soal cerita tentang matriks beserta jawaban. \begin {bmatrix}x \\ y \ . Contoh soal cerita matriks dalam kehidupan sehari hari guru ilmu. Simak soal dan pembahasannya ya. Soal cerita matriks ordo 3×3. Sehingga untuk menyajikan soal matematika dalam bentuk soal cerita,. Yang diarsir program linear dan matriks umur ibu 3 kali umur anak keliling . 18 pengertian penelitian menurut para ahli (pembahasan lengkap) contoh soal cerita spldv tentang umur.

Invers matriks ordo 3 3 penma 2b.

Contoh soal cerita tentang matriks beserta jawaban. Nah ada lagi metode penyelesaian yang akan dipelajari pada tingkat lanjut yakni metode determinan dengan menggunakan matriks. Contoh soal cerita matriks dalam kehidupan sehari hari guru ilmu. Yang diarsir program linear dan matriks umur ibu 3 kali umur anak keliling . Maka dipertemuan kali ini contohsoalcoid akan menerangkan secara lengkap mengenai materi spltv beserta pengertian soal cerita matriks rumus dan . Simak soal dan pembahasannya ya. Contoh soal cerita spltv tentang umur dan penyelesaiannya. \begin {bmatrix}x \\ y \ . 18 pengertian penelitian menurut para ahli (pembahasan lengkap) contoh soal cerita spldv tentang umur. Jika umur kakak x tahun dan umur adik y tahun, persamaan matriks yang . View contoh soal matriks dan jawabannya kelas 11 essay pics. Jika umur kakak x tahun dan umur adik y tahun, persamaan matriks yang sesuai dengan permasalahan tersebut adalah … a. Soal cerita matriks ordo 3×3.

\begin {bmatrix}x \\ y \ . Maka dipertemuan kali ini contohsoalcoid akan menerangkan secara lengkap mengenai materi spltv beserta pengertian soal cerita matriks rumus dan . Sehingga untuk menyajikan soal matematika dalam bentuk soal cerita,. Yang diarsir program linear dan matriks umur ibu 3 kali umur anak keliling . Jika umur kakak x tahun dan umur adik y tahun, persamaan matriks yang .

Contoh soal cerita spltv tentang umur dan penyelesaiannya. Contoh Soal Cerita Tentang Matriks Dengan
Contoh Soal Cerita Tentang Matriks Dengan from istanamengajar.files.wordpress.com
View contoh soal matriks dan jawabannya kelas 11 essay pics. Jika umur kakak x tahun dan umur adik y tahun, persamaan matriks yang sesuai dengan permasalahan tersebut adalah … a. Contoh soal cerita matriks dalam kehidupan sehari hari guru ilmu. Yang diarsir program linear dan matriks umur ibu 3 kali umur anak keliling . Contoh soal cerita spltv tentang umur dan penyelesaiannya. \begin {bmatrix}x \\ y \ . Nah ada lagi metode penyelesaian yang akan dipelajari pada tingkat lanjut yakni metode determinan dengan menggunakan matriks. Ajukan pertanyaan tentang tugas sekolahmu.

18 pengertian penelitian menurut para ahli (pembahasan lengkap) contoh soal cerita spldv tentang umur.

Contoh soal cerita tentang matriks beserta jawaban. \begin {bmatrix}x \\ y \ . Invers matriks ordo 3 3 penma 2b. Ajukan pertanyaan tentang tugas sekolahmu. Soal cerita matriks ordo 3×3. 18 pengertian penelitian menurut para ahli (pembahasan lengkap) contoh soal cerita spldv tentang umur. Nah ada lagi metode penyelesaian yang akan dipelajari pada tingkat lanjut yakni metode determinan dengan menggunakan matriks. Simak soal dan pembahasannya ya. Jika umur kakak x tahun dan umur adik y tahun, persamaan matriks yang sesuai dengan permasalahan tersebut adalah … a. Yang diarsir program linear dan matriks umur ibu 3 kali umur anak keliling . Maka dipertemuan kali ini contohsoalcoid akan menerangkan secara lengkap mengenai materi spltv beserta pengertian soal cerita matriks rumus dan . View contoh soal matriks dan jawabannya kelas 11 essay pics. Jika umur kakak x tahun dan umur adik y tahun, persamaan matriks yang .

Contoh Soal Cerita Matriks Umur : Soal Cerita Matriks Tentang Umur Maretong Soal Dan Pembahasan Matriks Pada Aplikasi Soal Biasanya Akan Lebih Rumit Dari Contoh Di Atas Idlearningltda - Contoh soal cerita spltv tentang umur dan penyelesaiannya.. Jika umur kakak x tahun dan umur adik y tahun, persamaan matriks yang . Invers matriks ordo 3 3 penma 2b. Contoh soal cerita tentang matriks beserta jawaban. Jika umur kakak x tahun dan umur adik y tahun, persamaan matriks yang sesuai dengan permasalahan tersebut adalah … a. Nah ada lagi metode penyelesaian yang akan dipelajari pada tingkat lanjut yakni metode determinan dengan menggunakan matriks.

Posting Komentar untuk "Contoh Soal Cerita Matriks Umur : Soal Cerita Matriks Tentang Umur Maretong Soal Dan Pembahasan Matriks Pada Aplikasi Soal Biasanya Akan Lebih Rumit Dari Contoh Di Atas Idlearningltda - Contoh soal cerita spltv tentang umur dan penyelesaiannya."